Danskernes forbrug af kartofler
12. marts 2026
Den nationale undersøgelse af danskernes kost og fysiske aktivitet også kaldet DANSDA giver indblik i danskernes kostvaner for perioden 2021-2024. Undersøgelsen viser, hvad vi spiser, hvilke næringsstoffer vi får, og hvordan kostvanerne varierer på tværs af befolkningen. I denne artikel dykker vi ned i kartofler.
Her kan du læse mere om Danskernes kostvaner 2021-2024
Danskernes indtag af kartofler
Tallene fra DANSDA 2021-2024 viser, at danskerne spiser for få kartofler i forhold til de officielle anbefalinger (100 g. dagligt). I tabellen nedenfor ses det aktuelle mediane kartoffelindtag for aldersgrupper og for køn. Tallene er angivet i g. pr. 10 MJ. Det har man gjort for at muliggøre sammenligning mellem aldersgrupper og køn.
Det mediane indtag i g. pr. 10 MJ er:
- Børn 4-10 år: 32 g. pr. 10 MJ
- Unge 11-17 år: 44 g. pr. 10 MJ
- Voksne 18-80 år: 54 g. pr. 10 MJ
De voksne ligger højere i kartoffelindtaget end både børn og unge, når vi ser på medianforbruget. Derudover viser tallene, at drenge/mænd har en højere median for kartoffelindtag end piger/kvinder på tværs af aldre. Blandt de 4‑10‑årige ligger drengenes median på 35 g. pr. 10 MJ, mens pigerne ligger på 30 g. pr. 10 MJ. Hos de 11‑17‑årige er medianen 49 g. pr. 10 MJ for drenge og 40 g. pr. 10 MJ for piger. For de voksne er mændenes median 59 g. pr. 10 MJ, og kvindernes 50 g. pr. 10 MJ – forskellene er dog relativt små. Samlet set indtager både børn, unge og voksne mindre end én middelstor kartoffel om dagen.
Kilde: DTU Fødevareinstituttet - Danskernes Kostvaner 2021-2024, tabel 4.22
I en markedsanalyse om kartofler udarbejdet af Landbrug & Fødevarer, fremgår det, at kartoflen er at finde på tre ud af ti aftensmadstallerkener, og at det især er danskere over 60 år, der har kartoflen som en foretrukken spise.

Kilde: Kartofler på tallerkenen – Landbrug & Fødevarer 2024
Desuden fortæller flertallet af danskerne, at retter med kartofler, i højere grad end andre retter, anses som værende et ”hjemmelavet måltid fra bunden”.
Lavt, middel og højt indtag af kartofler
DANSDA 2021-2024 viser, at danskerne spiser færre kartofler på tværs af aldersgrupper og køn end tidligere. Kartoffelindtaget er skævt fordelt – de fleste spiser lidt eller ingen kartofler, hvorimod et mindretal spiser en større mængde kartofler. Især mænd findes i den høje ende af skalaen. Ved at kigge på percentilerne, kan man opdele befolkningen i tydelige grupper af indtag: lavt, middel og højt indtag.
Tabellen her viser kostens indhold af kartofler, g. pr. 10 MJ (gennemsnit, spredning, median og percentiler).

Kilde: DTU Fødevareinstituttet - Danskernes Kostvaner 2021-2024, tabel 4.22
Personer med lavt indtag spiser ganske få mængder af kartofler pr. 10 MJ. Se fordelingen af indtaget i aldersgrupperne herunder:
- 4–10-årige: 0-15 g. pr. 10 MJ
- 11–17-årige: 0-17 g. pr. 10 MJ
- 18-80-årige: 0-23 g. pr. 10 MJ
Dette er gruppen, hvor kartofler sjældent indgår som en fast del af den daglige kost. Gennemsnittet af de personer, der spiser mest i lavindtagsgruppen, spiser hvad der svarer til lige under en kvart middelstor kartoffel.
I middelindtagsgruppen (percentil 25 til percentil 75 i tabellen overfor) varierer indtaget forholdsvis meget internt i aldersgruppen. Se fordelingen af indtaget i aldersgrupperne herunder:
- 4–10-årige: 15-60 g. pr. 10 MJ
- 11–17-årige: 17-69 g. pr. 10 MJ
- 18-80-årige: 23-94 g. pr. 10 MJ
Der ses en større spredning i aldersgrupperne i middel-kategorien. Det vil sige, at der er forholdsvis stor forskel på indtaget mellem dem, som spiser mindst (percentil 25), og dem som spiser mest (percentil 75). Fælles for alle i denne kategori er dog, at alle i et eller andet omfang spiser kartofler.
Denne gruppe har det højeste indtag af kartofler. Se fordelingen af indtaget i aldersgrupperne herunder:
4–10-årige: 60-124 g. pr. 10 MJ
11–17-årige: 69-137 g. pr. 10 MJ
18-80-årige: 94-176 g. pr. 10 MJ
I denne gruppe ses også en relativ stor spredning mellem dem, som spiser færrest kartofler, og dem som spiser flest kartofler (inden for gruppen). Kigger man på anbefalingerne (100 g. om dagen i en planterig og varieret kost), lever højindtagsgruppen ret godt op til anbefalingerne. For voksne ses det, at mange faktisk indtager over de 100 g. anbefalede kartofler.
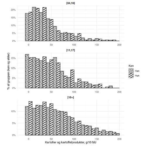
Figuren her viser, at hovedparten af både børn, unge og voksne har et lavt indhold af kartofler og kartoffelprodukter i kosten, mens kun få har høje indtag. Indtaget er lavere blandt børn og unge end blandt voksne. Diagramsøjlerne falder tydeligt fra venstre mod højre, hvilket viser, at en stor del af befolkningen enten ikke spiser kartofler eller kun gør det i begrænset omfang. Samtidig ses kun en lille gruppe – især blandt voksne – med meget høje indtag over 100 g. pr. 10 MJ. Figuren understreger dermed, at kartofler fylder relativt beskedent i kosten for store dele af befolkningen.

Kilde: DTU Fødevareinstituttet - Danskernes Kostvaner 2021-2024, figur B4.11
Udvikling i indtag af kartofler over tid
Data for indtag bygger på vægtede resultater fra begge kostundersøgelser (2011-2013 samt 2021-2024). Fødevaregrupperne er desuden justeret i kostundersøgelsen 2011‑2013, så de matcher inddelingen i undersøgelsen 2021‑2024.
Indtaget vises som median og er beregnet i g. pr. 10 MJ for befolkningen, opdelt i tre aldersgrupper: 4‑10 år, 11‑17 år og 18‑75 år, og for henholdsvis drenge/mænd, piger/kvinder. I 2011‑2013 gik voksenkategorien kun op til og med 75 år, hvilket derfor også anvendes i denne beskrivelse af ændringer. Signifikante forskelle (p<0,001) er markeret med * i diagrammet.
Som det fremgår af diagrammet, er indtaget af kartofler faldet markant siden den forrige kostundersøgelse i 2011-2013. Faldet i kartoffelindtaget er statistisk signifikant for voksne mænd og kvinder (18-75 år), unge drenge og piger (11-17 år) samt for piger (4-10 år). For drenge (4-10 år) er faldet derimod ikke signifikant, og samlet vurderes faldet for aldersgruppen 4-10 år derfor ikke som signifikant. Samlet ses der altså et tydeligt fald i indtaget af kartofler på tværs af alle aldersgrupper og køn. Det indikerer, at kartofler generelt fylder mindre i danskernes kost i dag end for 10 år siden.

Kilde: DTU Fødevareinstituttet - Danskernes Kostvaner 2021-2024, tabel 8.12
Læs mere om kartoflens næringsstofbidrag til kosten under Ernæring
Læs mere om danskerens efterlevelse af kostrådene inden for kartofler under Sundhed
Læs mere om kartofler her...
Måske er du også interesseret i disse fødevarer...
Kød
Her kan du bl.a. læse om ernæring, sundhed, bæredygtighed, dyrevelfærd, tilberedning, smag, kvalitet og sikkerhed.
Mælk og mejeriprodukter
Her kan du bl.a. læse om ernæring, sundhed, bæredygtighed, dyrevelfærd, kvalitet og sikkerhed.
Æg
Her kan du bl.a. læse om ernæring, sundhed, bæredygtighed, dyrevelfærd, kvalitet og fødevaresikkerhed samt om æggets opbygning.
Fisk
Her kan du bl.a. læse om ernæring, sundhed, bæredygtighed, dyrevelfærd, kvalitet og sikkerhed.
Frugt og grøntsager
Her kan du bl.a. læse om ernæring, sundhed, bæredygtighed, kvalitet og sikkerhed.
Korn
Her kan du bl.a. læse om ernæring, sundhed, bæredygtighed, kvalitet og sikkerhed.
Bælgfrugter
Her kan du bl.a. læse om ernæring, sundhed, bæredygtighed, kvalitet og fødevaresikkerhed.
