Danskernes forbrug af bælgfrugter
05. marts 2026
Den nationale undersøgelse af danskernes kost og fysiske aktivitet også kaldet DANSDA giver indblik i danskernes kostvaner for perioden 2021-2024. Undersøgelsen viser, hvad vi spiser, hvilke næringsstoffer vi får, og hvordan kostvanerne varierer på tværs af befolkningen. I denne artikel dykker vi ned i bælgfrugter.
Her kan du læse mere om Danskernes kostvaner 2021-2024
Danskernes indtag af bælgfrugter
Tallene fra DANSDA 2021-2024 viser, at indtaget af bælgfrugter generelt er meget lavt på tværs af aldersgrupper og køn. I tabellen angives indtag i g. pr. 10 MJ. Det har man gjort for at muliggøre sammenligning på tværs af aldersgrupper og køn.
Det gennemsnitlige indtag (gram pr. 10MJ) er:
- Børn 4-10 år: 3,2 g. pr. 10 MJ
- Unge 11-17 år: 4,7 g. pr. 10 MJ
- Voksne 18-80 år: 8 g. pr. 10 MJ
Der ses kun små kønsforskelle blandt børn og unge, mens voksne kvinder spiser mere end voksne mænd (9,8 g/10MJ vs. 6,3 g/10MJ). Derudover viser undersøgelsen, at over halvdelen af danskerne ikke spiser bælgfrugter i løbet af en uge.

Note: Tallene afspejler det gennemsnitlige indtag af bælgfrugter i g pr. 10 MJ i forskellige aldersgrupper og køn.
Kilde: DTU Fødevareinstituttet – Danskernes kostvaner 2021-2024, tabel 4.26
Lavt, middel og højt indtag af bælgfrugter
DANSDA 2021-2024 viser, at indtaget af bælgfrugter er meget skævt fordelt i befolkningen. Medianen er 0 g/10MJ for alle alders- og kønsgrupper, hvilket betyder, at over halvdelen slet ikke spiser bælgfrugter i løbet af en uge. Ved at kigge på percentilerne, kan man opdele befolkningen i, hvem der har et lavt, middel eller højt indtag.
Tabellen her viser kostens indhold af bælgfrugter, g pr. 10 MJ (Gennemsnit, spredning, median og percentiler).

Kilde: DTU Fødevareinstituttet – Danskernes kostvaner 2021-2024, tabel 4.26
Personer med lavt indtag spiser ingen bælgfrugter. I analysen svarer det til et indtag mellem:
- 4-10-årige: 0-0 g. pr. 10 MJ
- 11-17-årige: 0-0 g. pr. 10 MJ
- 18-75-årige: 0-0 g. pr. 10 MJ
I denne gruppe indgår bælgfrugter altså ikke i kosten. Dette er gældende for alle aldersgrupper og begge køn.
Middelgruppen repræsenterer det typiske danske indtag af bælgfrugter. De fleste danskere befinder sig her, og det daglige indtag ligger mellem:
- 4-10-årige: 0-0 g. pr. 10 MJ
- 11-17-årige: 0-4,3 g. pr. 10 MJ
- 18-75-årige: 0-5,6 g. pr. 10 MJ
Voksne danskere med middel indtag af bælgfrugter spiser imellem 0-5,6 g. pr. 10Mj på tværs af kønnene Kvinder går lidt længere op til 9,2 g/10MJ. Børn (4-10 år) indtager 0-0 g. pr. 10MJ, og kan derfor godt kobles til gruppen af lavt/intet indtag. Dvs. 75% af alle børn spiser ikke bælgfrugter i løbet af en uge. De voksne (18-75 år) spiser en smule mere end de unge (11-17 år).
Personer med højt indtag af bælgfrugter ligger en del højere end de to forrige kategorier:
- 4-10-årige: 0-22 g. pr. 10 MJ
- 11-17-årige: 4,3-25 g. pr. 10 MJ
- 18-75-årige: 5,6-45 g. pr. 10 MJ
Dette betyder, at en lille del af befolkningen spiser markant flere bælgfrugter end resten. Dette skaber en skæv fordeling i indtaget af bælgfrugter blandt befolkningen. For voksne, spiser dem med højt indtag mellem 5,6 g og 45 g/10MJ bælgfrugter. 5% voksne (dem over percentil 95, spiser 45 g bælgfrugter eller mere pr. 10MJ.
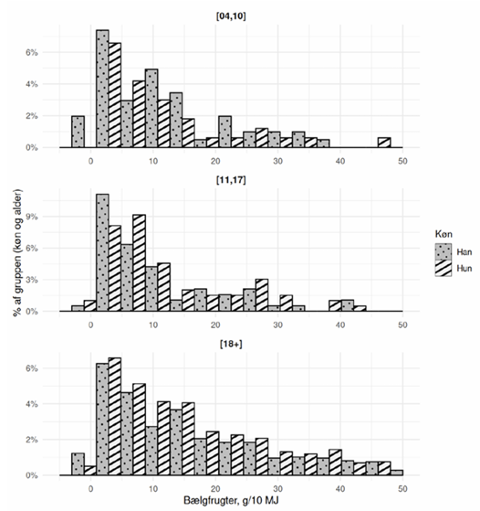
Diagrammet her viser, hvordan indtaget af bælgfrugter fordeler sig i befolkningen på tværs af tre aldersgrupper og fordelt på køn. For hver aldersgruppe illustrerer søjlerne, hvor stor en andel der ligger på forskellige niveauer af indtag af bælgfrugter (g/10 MJ). På tværs af alle grupper ses en bred variation i indtaget, men de fleste ligger i de lavere intervaller, mens kun få har et moderat eller højt indtag. Diagrammet giver dermed et visuelt overblik over både spredningen og forskellene mellem drenge/mænd og piger/kvinder i hver aldersgruppe.

Kilde: DTU Fødevareinstituttet – Danskernes kostvaner 2021-2024, tabel B4.13
Udvikling af danskernes indtag af bælgfrugter over tid
Data for indtag bygger på vægtede resultater fra begge kostundersøgelser (2011-2013 samt 2021-2024). Fødevaregrupperne er desuden justeret i kostundersøgelsen 2011‑2013, så de matcher inddelingen i undersøgelsen 2021‑2024.
Indtaget er beregnet pr. 10 MJ for populationen, opdelt i tre aldersgrupper: 4‑10 år, 11‑17 år og 18‑75 år, og for henholdsvis drenge/mænd, piger/kvinder. I 2011‑2013 går voksenkategorien kun op til og med 75 år, hvilket derfor også anvendes i denne beskrivelse af ændringer.
Selvom indtaget af bælgfrugter ligger markant under De officielle Kostråds anbefaling om 100 g tilberedte bælgfrugter om dagen, viser den nyeste kostundersøgelse (DTU Fødevareinstituttet, 2021-2024), at der er sket en stigning i indtaget af bælgfrugter siden forrige undersøgelse i 2011-2013.
Kilde: DTU Fødevareinstituttet - Danskernes Kostvaner 2021-2024, tabel 8.13
Hos de voksne ses en stigning som er firdoblet, og som går fra et gennemsnitligt indtag på 2,2 g/10 MJ (2011-2013) til 8,8 g/MJ (2021-2024). Hos børn (4-10 år) ses en stigning på 1,3 g/10 MJ til 3,4 g/10 MJ, og hos de unge (11-17) ses en stigning på 0,9 g/10 MJ til 4,8 g/10 MJ. Der er altså sket en positiv udvikling i indtaget af bælgfrugter, men der er stadig lang vej endnu.
Læs mere om bælgfrugters næringsstofbidrag til kosten under ernæring
Læs mere om danskerens efterlevelse af kostrådene inden for bælgfrugter under sundhed
Læs mere om bælgfrugter her...
Måske er du også interesseret i disse fødevarer...
Kød
Her kan du bl.a. læse om ernæring, sundhed, bæredygtighed, dyrevelfærd, tilberedning, smag, kvalitet og sikkerhed.
Mælk og mejeriprodukter
Her kan du bl.a. læse om ernæring, sundhed, bæredygtighed, dyrevelfærd, kvalitet og sikkerhed.
Fisk
Her kan du bl.a. læse om ernæring, sundhed, bæredygtighed, dyrevelfærd, kvalitet og sikkerhed.
Frugt og grøntsager
Her kan du bl.a. læse om ernæring, sundhed, bæredygtighed, kvalitet og sikkerhed.
Korn
Her kan du bl.a. læse om ernæring, sundhed, bæredygtighed, kvalitet og sikkerhed.
Kartofler
Her kan du bl.a. læse om ernæring, sundhed, bæredygtighed, tilberedning og smag, kvalitet og sikkerhed samt om kartoflens historie og opbygning.
Æg
Her kan du bl.a. læse om ernæring, sundhed, bæredygtighed, dyrevelfærd, kvalitet og fødevaresikkerhed samt om æggets opbygning.