Danskernes forbrug af brød, kornprodukter og fuldkorn
17. april 2026
Den nationale undersøgelse af danskernes kost og fysiske aktivitet, også kaldet DANSDA, giver indblik i danskernes kostvaner for perioden 2021-2024. Undersøgelsen viser, hvad vi spiser, hvilke næringsstoffer vi får, og hvordan kostvanerne varierer på tværs af befolkningen. I denne artikel dykker vi ned i brød, kornprodukter og fuldkorn.
Her kan du læse mere om Danskernes kostvaner 2021-2024
Danskernes indtag af brød, kornprodukter og fuldkorn
Tallene fra kostvaneundersøgelsen er illustreret i søjlediagrammerne nedenfor. Undersøgelsen viser, at det mediane indtag af brød, opgjort i g /10 MJ, er relativt ens på tværs af både aldersgrupper og køn.
Det mediane brødindtag fordelt på aldersgrupper er:
- Børn 4-10 år: 177 g /10 MJ
- Unge 11-17 år: 146 g /10 MJ
- Voksne 18-80 år: 157 g /10 MJ

Kilde: DTU Fødevareinstituttet - Danskernes Kostvaner 2021-2024, tabel 4.14
NB: Der anvendes medianværdier, da medianen beskriver den typiske dansker bedre end gennemsnittet, når data er skævt fordelt – hvilket kostdata næsten altid er.
Der ses ingen markante forskelle mellem grupperne, og indtaget ligger generelt stabilt i befolkningen. Brødindtaget er dog en smule højere blandt børn i alderen 4‑10 år end blandt de øvrige aldersgrupper.
Det mediane indtag af kornprodukter fordelt på aldersgrupper er:
- Børn 4-10 år: 85 g /10 MJ
- Unge 11-17 år: 91 g /10 MJ
- Voksne 18-80 år: 52 g /10 MJ

Kilde: DTU Fødevareinstituttet - Danskernes Kostvaner 2021-2024, tabel 4.16
NB: Der anvendes medianværdier, da medianen beskriver den typiske dansker bedre end gennemsnittet, når data er skævt fordelt – hvilket kostdata næsten altid er.
For kornprodukter ses der større variationer mellem aldersgrupper og køn. Voksne har konsekvent det laveste mediane indtag, mens børn i alderen 4‑10 år og unge i alderen 11‑17 år ligger på et nogenlunde tilsvarende niveau. Der ses desuden et systematisk mønster, hvor drenge og mænd har et lidt højere medianindtag af kornprodukter end piger og kvinder.
Det mediane fuldkornsindtag fordelt på aldersgrupper er:
- Børn 4-10 år: 69 g /10 MJ
- Unge 11-17 år: 44 g /10 MJ
- Voksne 18-80 år: 60 g /10 MJ

Kilde: DTU Fødevareinstituttet - Danskernes Kostvaner 2021-2024, tabel 4.18
NB: Der anvendes medianværdier, da medianen beskriver den typiske dansker bedre end gennemsnittet, når data er skævt fordelt – hvilket kostdata næsten altid er.
Det samlede fuldkornsindtag varierer tydeligt mellem aldersgrupperne. Drenge og mænd har gennemgående et højere medianindtag af fuldkorn end piger og kvinder. Aldersgruppen 4‑10 år har det højeste fuldkornsindtag, mens unge i alderen 11‑17 år ligger lavest på tværs af køn. De voksne i alderen 18‑80 år placerer sig mellem disse to grupper.
Det er samtidig bemærkelsesværdigt, at unge i alderen 11‑17 år er den gruppe, der har det relativt højeste indtag af kornprodukter, men det laveste indtag af fuldkorn. Dette peger på, at en større del af deres samlede kornindtag sandsynligvis stammer fra raffinerede kornprodukter som eksempelvis lyst brød, hvid pasta og hvide ris.
Omvendt har børn i alderen 4‑10 år et højt indtag af både brød, kornprodukter og fuldkorn, hvilket indikerer, at en relativt større andel af deres kornindtag består af fuldkornsprodukter sammenlignet med de øvrige aldersgrupper. Hos voksne ses et lavere indtag af kornprodukter kombineret med et mere stabilt brødindtag, hvilket indikerer, at voksne i højere grad får deres fuldkorn gennem brød frem for via andre kornprodukter.
Lavt, middel og højt indtag af brød, korn og fuldkorn
Brød
Tabellen herunder viser kostens indhold af brød, g /10 MJ (gennemsnit, spredning, median og percentiler).

Kilde: DTU Fødevareinstituttet - Danskernes Kostvaner 2021-2024, tabel 4.14
Kornprodukter
Tabellen herunder viser kostens indhold af kornprodukter, g /10 MJ (gennemsnit, spredning, median og percentiler).
Kilde: DTU Fødevareinstituttet - Danskernes Kostvaner 2021-2024, tabel 4.16
Fuldkorn
Tabellen herunder viser kostens indhold af fuldkorn, g /10 MJ (gennemsnit, spredning, median og percentiler).
Kilde: DTU Fødevareinstituttet - Danskernes Kostvaner 2021-2024, tabel 4.18
Herunder inddeles i lavt, middel og højt indtag, hvilket er fastlagt på baggrund af percentilfordelingen i befolkningen.
Personer med lavt indtag af brød befinder sig inden for værdierne herunder:
- 4–10-årige: 89-135 g /10 MJ
- 11–17-årige: 70-115 g / 10 MJ
- 18-80-årige: 58-117 g / 10 MJ
Dette er gruppen, der ligger klart under medianen i alle aldersgrupper, og som indtager meget små mængder brød pr. 10 MJ. Ser vi på de voksne, viser p5, at det gennemsnitlige indtag er 58 g /10 MJ, hvilket svarer til omtrent én mindre bolle. Det indikerer, at brød sjældent indgår i deres daglige kostmønster sammenlignet med hovedparten af befolkningen.
Personer med lavt indtag af kornprodukter befinder sig inden for værdierne herunder:
- 4–10-årige: 38-62 g /10 MJ
- 11–17-årige: 43-67 g /10 MJ
- 18-80-årige: 16-40 g /10 MJ
Lavindtagsgruppen består af personer, der spiser markant færre kornprodukter end både middel- og højindtagsgruppen. De har et begrænset indtag af kornprodukter såsom pasta, ris, morgenmadsprodukter og lignende. Aldersgruppen med det laveste indtag er de voksne, hvor p5-værdien er helt nede omkring 16 g /10 MJ, hvilket svarer til ca. 1,5 spiseskeer pasta. Det viser, at denne del af voksne næsten ikke har kornprodukter som en del af deres kost.
Personer med lavt indtag af fuldkorn befinder sig inden for værdierne herunder:
- 4–10-årige: 18-47 g /10 MJ
- 11–17-årige: 7-23 g /10 MJ
- 18-80-årige: 11-37 g /10 MJ
Lavindtagsgruppen består af personer, der indtager meget små mængder fuldkorn og dermed ligger langt under medianen og kostrådets anbefalinger på 90 g. fuldkorn om dagen. Særligt 11-17-årige har et markant lavt niveau, hvor selv den øvre del af intervallet (p25) kun når omkring 23 g /10 MJ. Gruppen udgør dermed den del af befolkningen, der har det mest utilstrækkelige fuldkornsindtag, og hvor fuldkorn kun spiller en begrænset rolle i den daglige kost.
Samlet set viser lavindtagsgrupperne, at en del af befolkningen generelt indtager meget små mængder af både brød, kornprodukter og fuldkorn, hvilket peger på et kostmønster, hvor disse fødevaregrupper kun spiller en begrænset rolle.
Middelindtagsgruppen kendetegnes ved et stabilt, men moderat indtag af brød, kornprodukter og fuldkorn, som afspejler et almindeligt kostmønster i befolkningen, men hvor især fuldkornsindtaget fortsat ligger under de officielle anbefalinger.
Personer med et middel indtag af brød befinder sig inden for værdierne herunder:
- 4–10-årige: 135-225 g /10 MJ
- 11–17-årige: 115-188 g /10 MJ
- 18-80-årige: 117-203 g /10 MJ
Denne gruppe viser de personer, der indtager typiske, almindelige mængder brød. Det betyder, at hos denne gruppe fungerer brød som en stabil del af kosten, snarere end noget, der undgås eller indtages i store mængder.
Personer med et middel indtag af kornprodukter befinder sig inden for værdierne herunder:
- 4–10-årige: 62-113 g /10 MJ
- 11–17-årige: 67-115 g /10 MJ
- 18-80-årige: 40-93 g /10 MJ
Middelgruppen udgør de personer, der har et regelmæssigt, men ikke højt kornindtag, og som dermed afspejler det mest almindelige forbrug i befolkningen. Denne gruppe ligger tæt omkring medianen og viser, at kornprodukter udgør en stabil, men moderat del af kosten, særligt hos børn og unge, hvor intervallet er en anelse højere end hos voksne.
Personer med et middel indtag af fuldkorn befinder sig inden for værdierne herunder:
- 4–10-årige: 47-99 g /10 MJ
- 11–17-årige: 23-72 g /10 MJ
- 18-80-årige: 37-89 g /10 MJ
Middelindtagsgruppen indtager hverken meget lave eller høje mængder fuldkorn. Gruppen ligger dog under kostrådets anbefaling på 90 g. fuldkorn om dagen, særligt blandt 11-17-årige, hvor selv den øvre del af middelintervallet fortsat befinder sig et stykke under anbefalingen. Hos både børn og voksne viser intervallet et stabilt, men utilstrækkeligt fuldkornsindtag i forhold til anbefalingerne fra De Officielle Kostråd.
Højindtagsgruppen omfatter personer, for hvem brød, kornprodukter og fuldkorn udgør en markant og regelmæssig del af kosten, og hvor indtaget ligger tydeligt over medianen, med en betydelig andel der når de højeste niveauer og i flere tilfælde også de officielle anbefalinger.
Personer med et højt indtag af brød befinder sig inden for værdierne:
- 4–10-årige: 225-290 g /10 MJ
- 11–17-årige: 188-260 g /10 MJ
- 18-80-årige: 203-275 g /10 MJ
Højindtagsgruppen udgør de personer, der spiser markant mere brød end gennemsnittet, men stadig inden for et niveau, hvor brød fremstår som en central og regelmæssig del af kosten. Gruppen ligger tydeligt over medianen, og særligt blandt 4-10-årige ses en større andel, der befinder sig i dette høje interval. Brød udgør altså en relativt større del af det samlede energiindtag hos denne gruppe, sammenlignet med de resterende aldersgrupper.
Personer med et højt indtag af kornprodukter befinder sig inden for værdierne:
- 4–10-årige: 113-156 g /10 MJ
- 11–17-årige: 115-176 g /10 MJ
- 18-80-årige: 93-147 g /10 MJ
Højindtagsgruppen består af de personer, der spiser betydeligt flere kornprodukter end medianindtaget, og hvor korn udgør en relativt stor del af deres energiindtag. Særligt blandt unge (11-17 år) ses en markant høj øvre percentil, hvilket indikerer, at en større andel af denne aldersgruppe har et meget højt forbrug af kornprodukter sammenlignet med både børn og voksne.
Personer med et højt indtag af fuldkorn befinder sig inden for værdierne:
- 4–10-årige: 99-152 g / 10 MJ
- 11–17-årige: 72-139 g / 10 MJ
- 18-80-årige: 89-146 g / 10 MJ
I denne gruppe ses de højeste fuldkornsindtag blandt børn og voksne, mens unge i alderen 11‑17 år gennemgående ligger lavere end de øvrige aldersgrupper – også blandt dem med et relativt højt indtag.
Samlet set betyder det, at størstedelen af børn og voksne i den øvre percentil når anbefalingen om 90 g fuldkorn om dagen. For de unge gælder dette i mindre omfang, og særligt piger i alderen 11‑17 år har selv blandt højindtagsgruppen et fuldkornsindtag, der ofte ligger under anbefalingen.
Følgende diagrammer illustrerer, hvordan indtaget af brød, kornprodukter og fuldkorn fordeler sig blandt børn, unge og voksne opdelt på køn.
Brød
På tværs af alle aldersgrupper ligger hovedparten i de midterste intervaller for brødindtag, mens færre ligger helt lavt eller højt.

Kilde: DTU Fødevareinstituttet - Danskernes Kostvaner 2021-2024, figur B4.7
Mønsteret er generelt ens for børn, unge og voksne, og der ses kun små forskelle mellem kønnene.
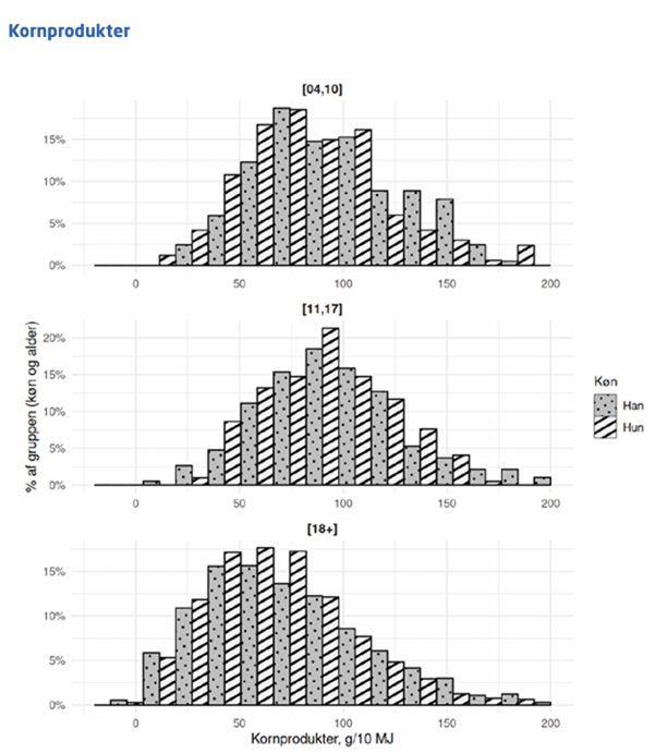
Kornprodukter
På tværs af aldersgrupper ligger størstedelen i de midterste intervaller for kornproduktindtag, mens få ligger i de høje og lave ender.

Kilde: DTU Fødevareinstituttet - Danskernes Kostvaner 2021-2024, figur B4.8
Fordelingen følger et overordnet ensartet mønster blandt børn og unge, hvor en mindre andel har et lavt indtag af kornprodukter, hovedparten indtager moderate mængder, og kun få ligger i den høje ende af fordelingen. Hos voksne ses der derimod en lidt tydeligere forskydning mod lavere indtag, idet en større andel befinder sig i det lave interval sammenlignet med børn og unge. Samtidig er størstedelen af de voksne fortsat koncentreret omkring midterområdet, hvorefter andelen gradvist aftager mod de højere indtagsniveauer.
Forskellene mellem kønnene er gennemgående begrænsede.
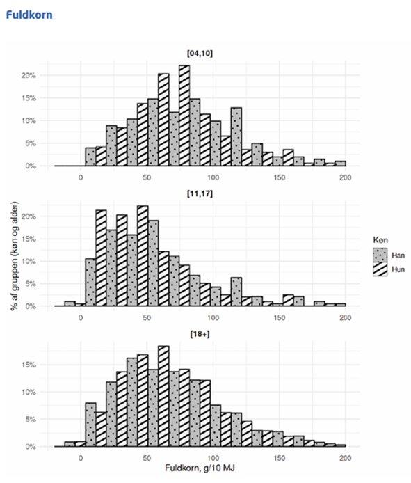
Fuldkorn
I alle tre aldersgrupper ligger størstedelen af personerne i de lave til moderate intervaller for fuldkornsindtag.

Kilde: DTU Fødevareinstituttet - Danskernes Kostvaner 2021-2024, figur B4.9
Fordelingen af fuldkornsindtag varierer tydeligt mellem aldersgrupperne. Børn har hovedparten af indtaget samlet omkring moderate niveauer, mens unge i alderen 11‑17 år i højere grad er koncentreret i de lave intervaller og kun sjældent når de høje indtag. Hos voksne ligger fordelingen mellem børn og unge med en tydelig tyngde omkring moderate indtag og en gradvis aftagende andel mod de højere niveauer.
Udvikling i indtag af brød, kornprodukter og fuldkorn over tid
Data for indtag bygger på vægtede resultater fra begge kostundersøgelser (2011-2013 samt 2021-2024). Fødevaregrupperne er desuden justeret i kostundersøgelsen 2011‑2013, så de matcher inddelingen i undersøgelsen 2021‑2024. Indtaget er beregnet i g /10 MJ for populationen, opdelt i aldersgrupperne 4‑10 år, 11‑17 år og 18‑75 år, og for henholdsvis drenge/mænd og piger/kvinder. I 2011‑2013 går voksenkategorien kun op til og med 75 år, hvilket derfor også anvendes i denne beskrivelse af ændringer. Signifikante forskelle (p<0,001) er markeret med * i diagrammet.
Samlet set viser undersøgelsen små ændringer i brødindtaget, tydelige og signifikante stigninger i kornprodukter på tværs af de unge og voksne, mens fuldkornsindtaget kun ændrer sig marginalt, kun med signifikant fremgang blandt voksne mænd.
Brød
Kaster man blikket på udviklingen i danskernes indtag af brød, ser man faktisk ikke markante forskelle i indtaget siden sidste kostvaneundersøgelse i 2011-2013.

Kilde: DTU Fødevareinstituttet - Danskernes Kostvaner 2021-2024, tabel 8.7
NB: Der anvendes medianværdier, da medianen beskriver den typiske dansker bedre end gennemsnittet, når data er skævt fordelt – hvilket kostdata næsten altid er.
Børnegruppen (4-10 år) stiger en lille smule fra forrige undersøgelse, hvorimod de unge (11-17 år) falder en lille smule. De 4-10-årige stiger med 7 g /10 MJ, og går dermed fra 170 g /10 MJ til 177 g /10 MJ. De 11-17-årige falder med 16 g /10 MJ, og går derfor fra 162 g /10 MJ til 146 g /10 MJ. De voksnes (18-75 år) indtag af brød er fuldkommen identisk med den forrige undersøgelse, og forbliver altså på 156 g /10 MJ. Der vises ingen statistisk signifikans i denne fødevaregruppe.
Kornprodukter
Ved indtaget af kornprodukter (ekskl. brød) ses en generel stigning på tværs af alle aldersgrupper.

Kilde: DTU Fødevareinstituttet - Danskernes Kostvaner 2021-2024, tabel 8.8
NB: Der anvendes medianværdier, da medianen beskriver den typiske dansker bedre end gennemsnittet, når data er skævt fordelt – hvilket kostdata næsten altid er.
Den mindste stigning ses i aldersgruppen 4-10 år, hvor medianindtaget er gået fra 78 g /10 MJ (2011-2013) til 85 g /10 MJ (2021-2024). Den største stigning ses hos aldersgruppen 11-17 år, som går fra 69 g /10 MJ (2011-2013) til 91 g /10 MJ (2021-2024). Både piger og drenge i denne aldersgruppe stiger væsentligt fra forrige undersøgelse, men særligt pigernes stigning på 25 g /10 MJ (+40%) er bemærkelsesværdig (data ikke vist her). Der vises signifikans for begge køn i denne aldersgruppe. Der ses også en stigning i aldersgruppen 18-75 år, hvor indtaget før var 52 g /10 MJ (2011-2013) til nu at være 66 g /10 MJ (2021-2024). Her er der også beregnet signifikans, og dette gør sig gældende for begge køn.
Fuldkorn
Indtaget af fuldkorn gennem kosten har ikke ændret sig tydeligt. Den mindste ændring ses i aldersgruppen 4-10 år, hvor den falder med 1 g /10 MJ. Indtaget går altså fra 70 g /10 MJ (2011-2013) til 69 g /10 MJ (2021-2024). I aldersgrupperne 11-17 år og 18-75 år ses altså en ændring på 6 g /10 MJ, hvor de 11-17-årige får færre fuldkorn gennem kosten, og de 18-75-årige får flere fuldkorn igennem kosten. Der påvises signifikans i aldersgruppen 18-75 år, og denne signifikans stammer primært fra mændenes stigning i fuldkornsindtag.

Kilde: DTU Fødevareinstituttet - Danskernes Kostvaner 2021-2024, tabel 8.9
NB: Der anvendes medianværdier, da medianen beskriver den typiske dansker bedre end gennemsnittet, når data er skævt fordelt – hvilket kostdata næsten altid er.
Læs mere om brød og kornprodukters næringsstofbidrag til kosten under Ernæring
Læs mere om danskerens efterlevelse af kostrådene inden for fuldkorn under Sundhed
Læs mere om brød og korn her...
Måske er du også interesseret i disse fødevarer...
Kød
Her kan du læse om ernæring, smag og kvalitet af kød samt om dyrevelfærd, bæredygtighed, tilberedning og fødevaresikkerhed.
Mælk og mejeriprodukter
Her kan du bl.a. læse om ernæring, sundhed, danskernes forbrug, mejeriprodukter, bæredygtighed, dyrevelfærd, kvalitet og fødevaresikkerhed.
Æg
Her kan du læse om ernæring, sundhed, danskernes forbrug, bæredygtighed og dyrevelfærd samt om æggets opbygning, kvalitet og fødevaresikkerhed.
Fisk
Her kan du læse om ernæring og sundhed, bæredygtighed og kvalitet samt om fødevaresikkerhed inden for fisk og fiskeprodukter.
Brød, kornprodukter og fuldkorn
Her kan du læse om ernæring og sundhed med fokus på brød, kornprodukter og fuldkorn, samt danskernes forbrug, tilberedning og smag mm.
Bælgfrugter
Her kan du bl.a. læse om ernæring, sundhed, bæredygtighed, kvalitet og fødevaresikkerhed.
Kartofler
Her kan du læse om danskernes forbrug, ernæring og sundhed, tilberedning og smag samt om kartoflens historie, kvalitet og fødevaresikkerhed.
